
نشاط الجذور والأسس
Quiz by Hend
Feel free to use or edit a copy
includes Teacher and Student dashboards
Measure skillsfrom any curriculum
Measure skills
from any curriculum
Tag the questions with any skills you have. Your dashboard will track each student's mastery of each skill.
With a free account, teachers can
- edit the questions
- save a copy for later
- start a class game
- automatically assign follow-up activities based on students’ scores
- assign as homework
- share a link with colleagues
- print as a bubble sheet
10 questions
Show answers
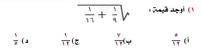
- Q1
اختر الإجابة الصحيحة فيما يلي
د
أ
ج
ب
60s - Q2
اختر الإجابة الصحيحة فيما يلي
د
ب
ج
أ
60s - Q3
اختر الإجابة الصحيحة فيما يلي
د
ب
أ
ج
60s - Q4
اختر الإجابة الصحيحة فيما يلي
ب
أ
ج
د
60s - Q5
اختر الإجابة الصحيحة فيما يلي
أ
ب
ج
د
60s - Q6
اختر الإجابة الصحيحة فيما يلي
ج
ب
أ
د
60s - Q7
اختر الإجابة الصحيحة فيما يلي
ب
د
أ
ج
60s - Q8
اختر الإجابة الصحيحة فيما يلي
أ
ب
د
ج
60s - Q9
اختر الإجابة الصحيحة فيما يلي
أ
ج
ب
د
60s - Q10
اختر الإجابة الصحيحة فيما يلي
ب
ج
أ
د
60s
