
Algebra 2 1st 9 Week Common Assessment
Quiz by Dr. Esequiel Garcia
Feel free to use or edit a copy
includes Teacher and Student dashboards
Measure skillsfrom any curriculum
Measure skills
from any curriculum
Tag the questions with any skills you have. Your dashboard will track each student's mastery of each skill.
With a free account, teachers can
- edit the questions
- save a copy for later
- start a class game
- automatically assign follow-up activities based on students’ scores
- assign as homework
- share a link with colleagues
- print as a bubble sheet
30 questions
Show answers
- Q1
Solve the system by using a table.
(2,5)
(5,2)
(-5,-2)
(-2,-5)
300s - Q2300s
- Q3300s
- Q4120s
- Q5
Solve the system.
(4,2)
(-2,-4)
(2,4)
300s - Q6120s
- Q7300s
- Q8
Is this relation a function?
Yes
No
300s - Q9
Compare each function with the parent function. Without graphing, what are the vertex, axis of symmetry, and transformations of the parent function?
120s - Q10
Solve the absolute value equation. Graph the solution.
300s - Q11120s
- Q12300s
- Q13300s
- Q14
Solve the inequality. Graph the solution.
300s - Q15
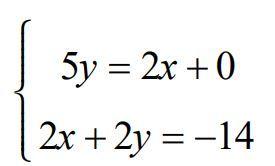
Solve the system using elimination.
(-4,-2)
(2,4)
(-2,-4)
(4,2)
300s
