
Sign of Polynomial
Quiz by Tara Stewart
Feel free to use or edit a copy
includes Teacher and Student dashboards
Measure skillsfrom any curriculum
Measure skills
from any curriculum
Tag the questions with any skills you have. Your dashboard will track each student's mastery of each skill.
With a free account, teachers can
- edit the questions
- save a copy for later
- start a class game
- automatically assign follow-up activities based on students’ scores
- assign as homework
- share a link with colleagues
- print as a bubble sheet
20 questions
Show answers
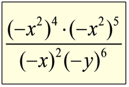
- Q1Determine if the simplified expression is positive or negative.negativepositive60s
- Q2Determine if the simplified expression is positive or negative.positivenegative60s
- Q3Determine if the simplified expression is positive or negative.positivenegative60s
- Q4Determine if the simplified expression is positive or negative.positivenegative60s
- Q5Determine if the simplified expression is positive or negative.positivenegative60s
- Q6Determine if the simplified expression is positive or negative.negativepositive60s
- Q7Determine if the simplified expression is positive or negative.positivenegative60s
- Q8Determine if the simplified expression is positive or negative.positivenegative60s
- Q9Determine if the simplified expression is positive or negative.negativepositive60s
- Q10Determine if the simplified expression is positive or negative.negativepositive60s
- Q11Determine if the simplified expression is positive or negative.negativepositive60s
- Q12Determine if the simplified expression is positive or negative.positivenegative60s
- Q13Determine if the simplified expression is positive or negative.negativepositive60s
- Q14Determine if the simplified expression is positive or negative.positivenegative60s
- Q15Determine if the simplified expression is positive or negative.negativepositive60s