
SYSTEM OF 3 EQUATIONSb
Quiz by Paul Safara
Feel free to use or edit a copy
includes Teacher and Student dashboards
Measure skillsfrom any curriculum
Measure skills
from any curriculum
Tag the questions with any skills you have. Your dashboard will track each student's mastery of each skill.
With a free account, teachers can
- edit the questions
 - save a copy for later
 - start a class game
 - automatically assign follow-up activities based on students’ scores
 - assign as homework
 - share a link with colleagues
 - print as a bubble sheet
 
5 questions
Show answers
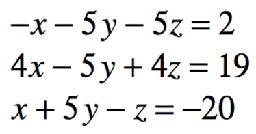
- Q1Solve the system of 3 equations using elimination(-3,2, 2)(3, -2, 2)(-2,-3, 3)(2,3,-3)30s
 - Q2Solve the system of three equations using substitution(2,1,0)(1,0,2)(0,2,1)(2,0,1)30s
 - Q3Solve the system of three equations by using substitution(3,6,0)(0,3,6)(6,3,0)(3,0,6)30s
 - Q4solve the system of three equations using cramers rule(0,0,3)(-2,1,3)(3,1,-2)(1,-2,3)30s
 - Q5The determinant of the matrix is18-14142430s
 
