
Topic: 8.11 Organisms and Environments (1)
Quiz by Grade 8 Science - Texas Education Agency
Grade 8
Science (2017)
Texas Essential Knowledge and Skills (TEKS)
Feel free to use or edit a copy
includes Teacher and Student dashboards
Measures 3 skills from
Measures 3 skills from
With a free account, teachers can
- edit the questions
- save a copy for later
- start a class game
- automatically assign follow-up activities based on students’ scores
- assign as homework
- share a link with colleagues
- print as a bubble sheet
14 questions
Show answers
- Q1Wild Soay sheep live in a cold environment on a small Scottish island. The sheep used to be large because they gained extra weight during the summers in order to survive the harsh winters. A recent change in the island’s climate has caused grass to be available for a longer period each year, so survival conditions for the sheep have become less challenging. Researchers who study these sheep have most likely observed a decrease in the wild Soay’s —reproduction ratessizebody temperaturelife expectancy60s8.11b
- Q2The graph below shows the percent of seeds from two plant species that sprout when grown in water containing different amounts of salt. Which of the following best summarizes the effect of saltwater on these plant species?Species 1 can sprout only in freshwater, and Species 2 can sprout only in saltwater.Both species can sprout in freshwater and saltwater, but Species 2 can sprout in a higher salt concentration than Species 1.Species 1 can sprout only in water with a low salt concentration, but Species 2 is not affected by the salt concentration.Both species need salt in their water, but Species 2 needs more salt than Species 1.60s8.11a
- Q3Which organisms in the food web shown above compete for the same food source in this environment?Hawks and frogsGrasshoppers and snakesFrogs and snakesDecomposers and grasses60s8.11a
- Q4The Couch’s spadefoot lives in Texas and has the characteristics listed below. The Couch’s spadefoot is adapted to a certain type of environment. Which of these resources is most likely scarce in this environment?SunlightWaterOxygenSoil60s8.11a
- Q5Some scientists studying aquatic plants notice that flooding often leads to a decrease in the rate of photosynthesis among aquatic plants. Flooding causes more sediment to be suspended in the water. The increased sediment concentration decreases the amount of light that reaches the plants. Why does a decreased rate of photosynthesis lead to a decrease in a plant population?Less water is available for absorption.Less soil is available for leaf development.Less energy is available for reproduction.Less tissue is available for plant growth.60s8.11b
- Q6The Guam rail is a flightless bird found on the island of Guam. It builds a shallow nest on the ground and lays eggs throughout the year. There are no native species of snakes on Guam, so the Guam rail had no experience with snake predators until the brown tree snake was accidentally introduced sometime between 1944 and 1952. These snakes, which eat a wide variety of animal species, quickly established a large population on Guam. How was the Guam rail most likely affected by the introduction of the brown tree snake?The Guam rail quickly developed the ability to fly in order to escape from the brown tree snake.The brown tree snake ate only species that lived in trees, so it had no effect on the Guam rail.The population of the Guam rail declined, and the species nearly became extinct.The Guam rail began to build its nests in trees.60s8.11b
- Q7Which of these human activities is most likely to cause the excessive growth of phytoplankton in the world’s oceans?The use of chemical fertilizers that are carried by runoff into riversThe spraying of chemical herbicides that reduce carbon dioxide in the airThe mining of fossil fuels, which requires digging underground tunnelsThe logging of old-growth forests, which results in erosion60s8.11c
- Q8The graph below shows the range of water conditions preferred by three species of fish in an Ozark stream. Water with which of these conditions would cause the most competition for resources among all three species of fish?Mild temperatures, some suspended particles, flows at a medium speedVery cold, very clear, and very fastMild temperatures, some suspended particles, flows very fastVery warm, very clear, and very slow60s8.11a
- Q9Scientists are studying the effects of climate change on the Baltic Sea. Some scientists predict that if current trends continue, the Baltic Sea will become less salty, and it will contain less dissolved oxygen. As a result of these changes, the Baltic Sea will have less biodiversity. The location of the Baltic Sea is shown on the map below. Which statement best explains why biodiversity in the Baltic Sea could decrease if these changes occur?Fewer types of plants and animals are found in warm water than in cool water.Plants and animals adapted for living in saltwater will grow more slowly in water that has less salt.Animals adapted for living in warm water will eat all the plants and animals adapted for living in cool water.Plants and animals adapted for living in saltier conditions will not be able to survive and reproduce.60s8.11b
- Q10Copper compounds are used in large amounts to control the growth of algae and other aquatic plants. Copper interferes with photosynthesis in these organisms. What would be the most likely result of an accidental spill of these compounds in an aquatic environment?The fish would grow larger than usual.The plant populations would be reduced.The plants would increase in size but decrease in number.The zooplankton population would increase60s8.11b
- Q11Barnacles are marine organisms that live attached to surfaces as adults. A scientist studies two barnacle species that live on rocks on a coast in Scotland. In some rocky areas Species A is found alone. In other rocky areas Species B is found alone. In still other rocky areas both species are found together. The diagram below shows the two barnacle species on rocks in their habitats. If Species B were removed from the rocky areas it shares with Species A, Species A would most likely inhabit —Zone I onlyZones I and II onlyZones I, II, and IIIZone III only60s8.11a
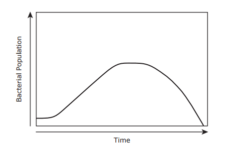
- Q12A scientist added bacteria and a nutrient medium that could support the growth of the bacteria to a sterilized petri dish. No other materials were added. The graph models growth of the bacteria over time. Which of these most likely explains why the bacterial population stopped growing?The bacteria mutated from photosynthetic to carnivorous organisms and consumed one another until all the individuals were dead.The bacteria competed for nutrients and died after all the nutrients were consumed.The bacteria became diseased and were unable to survive in the closed system.The bacteria did not reproduce in the system, and eventually each individual died at the end of its life cycle.60s8.11a
- Q13DDT is a pesticide that was once widely used to control agricultural pests and mosquitoes. However, this pesticide caused the eggshells of certain birds, including the brown pelican, to become fragile and thin. The adults would then accidentally crush the eggs while trying to incubate them. What happened to brown pelican populations as a result of DDT use by humans?The populations increased as pelicans laid more eggs so that more offspring would survive.The populations increased much more slowly.The populations decreased as fewer eggs survived long enough to hatch.The populations remained stable over time.60s8.11b
- Q14Which of the following is most likely to cause a change in the genetic traits in an isolated population of a ground-dwelling lizard species?The exposure of an individual lizard in the population to radiation that causes a mutation that is not passed on to its offspringA fast-moving wildfire that burns the canopy of the trees in the lizard population’s ecosystemAn unusually dry summer in the lizard population’s ecosystemThe introduction of an invasive predator that preys on the brightest-colored individuals in the lizard population60s8.11b
