
Algebra 2 Regents Prep #2
Quiz by Firoza Rahman
Feel free to use or edit a copy
includes Teacher and Student dashboards
Measure skillsfrom any curriculum
Tag the questions with any skills you have. Your dashboard will track each student's mastery of each skill.
- edit the questions
- save a copy for later
- start a class game
- automatically assign follow-up activities based on students’ scores
- assign as homework
- share a link with colleagues
- print as a bubble sheet
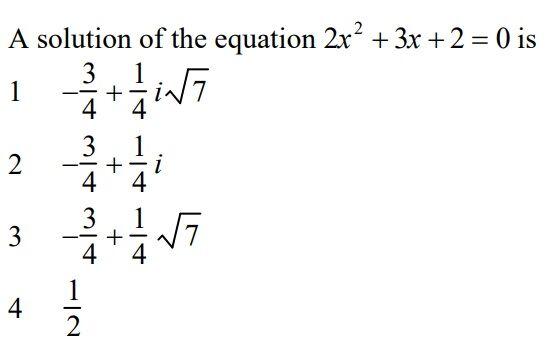
- Q1
Answer the following question
2
1
4
3
300s - Q2
Which formula represents the quadratic formula?
30s - Q3
Answer the following question
No, because its graph does not cross the x-axis
Yes, because its graph does not cross the x-axis
Yes, because its graph does cross the x-axis
No, because its graph does cross the x-axis
300s - Q4
Which one is an example of a complex number?
60s - Q5
Which is an example of a conjugate pair?
60s - Q6
Complex solutions always come in the form of conjugate pairs.
truefalseTrue or False60s - Q7True or False60s
- Q8
There are 12 inches in one foot.
truefalseTrue or False60s - Q9
A square has four equal angles and four equal sides.
truefalseTrue or False60s - Q10
On a concave up parabola, it's vertex point can also be called a maximum
truefalseTrue or False60s - Q11
On a concave down parabola, it's vertex point can also be called a maximum
falsetrueTrue or False60s - Q12
On a concave down parabola, it's vertex point can also be called a minimum
truefalseTrue or False60s - Q13
On a concave up parabola, it's vertex point can also be called a minimum
falsetrueTrue or False60s - Q14
Answer the question
3
1
2
4
300s - Q1530s
