
Две логаритамске неједначине
Quiz by Jasmina Micić
Feel free to use or edit a copy
includes Teacher and Student dashboards
Measure skillsfrom any curriculum
Measure skills
from any curriculum
Tag the questions with any skills you have. Your dashboard will track each student's mastery of each skill.
With a free account, teachers can
- edit the questions
- save a copy for later
- start a class game
- automatically assign follow-up activities based on students’ scores
- assign as homework
- share a link with colleagues
- print as a bubble sheet
9 questions
Show answers
- Q1
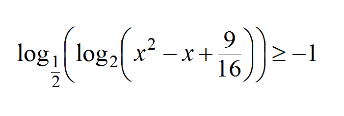
1. У сваком наредном питању биће потребно користити закључке претходних питања. Зато, поступно радите, прибележите и примените!
Срећан рад!
Ј.М.
$x^{2}-x+\frac{9}{16}>0 $$ log_{2}\left( x^{2}-x+\frac{9}{16} \right)>0 $$ log_{2}\left( x^{2}-x+\frac{9}{16} \right)>1 $$x^{2}-x+\frac{9}{16}>0 \; \; ∧ log_{2}\left( x^{2}-x+\frac{9}{16} \right)>0 $120s - Q2120s
- Q3300s
- Q4300s
- Q5300s
- Q6300s
- Q7300s
- Q8300s
- Q9300s
